【Z・特別講義6】
[A 級アンプと B 級アンプの動作原理]
第6回 寄稿
頂戴しましたご意見の中に、自宅のAudio装置を公開して欲しい、又この数十年間の技術進歩に関して
疑問を持つ・・等のご意見を頂戴しております
確かに長年半導体を使ってAudio装置を設計した者が、先祖返りの如く真空管を何故使う?・・と疑問に
思われる事でしょう。 更にスピーカー設計に対する疑問を呈する事で、技術進歩に関して自分は今まで
何をしていた?・・と指弾される思いです。
まず、自宅のAudio装置のラインナップから・・貴重な紙面を拝借させて頂きます。
音楽ソースは大半がCD&DSDと、BGM用には衛星経由の非圧縮PCM放送から記録した自作の
CD-ROMです。(現在は放送停止) 更に最近PC経由でハイレゾ対応も試しております。
アナログLPソースは諸般の都合で卒業しました。 システム構成は下記の通りです。
CDプレーヤー ⇒ バランス伝送 ⇒ 自作チャンネルデバイダー(半導体式) ⇒ Woofer専用AMP
はKT-88 PP 35W モノーラルAMP 2台 と、Tweeter専用AMPは KR300BXLSのシングルA級
8W AMPこれはステレオ構成です。出力はデチューンして使っております。(球入手困難への対応)
AMP類は自作です。 ⇒ Speaker ALTEC 604C 同軸2Way をプレーンバッフル板に搭載。
バッフル板は1.2m×1.2m 板厚30mmのフィンランドバーチ材(設計は自前・板材カットは外注)
バッフル板の転倒防止用として、左右奥行方向に400mmの側板で支えております。
バッフル板は床から5mm浮かせる構造で、スピーカー取り付け位置から放射状に、360方向に響棒を張り
付け、板全体を楽器の如く振動させるコンセプトです。(ピアノの響棒がヒント・効果?)SP取り付け高さは
下から2/3、左右は10cm程内側寄りの位置。(添付写真の通りです)
プレーンバッフルの天板は、部屋の音響特性に合わせ自由に前後移動させますので、単に載せている
だけです。 後面は壁面に音波を当て反射する部屋任せ。
箱に押し込められた音よりも、後面解放型から再生される音に痺れ、これぞ自分の求める究極の音だと!
ALTECの604Cは製造が1956年製で、さすがに古いビンテージ品ですが、先代のオーナー氏がとても
大切に扱っておられ、振動板もまったく張り替えず、オリジナルを保っております。
この氏は己の寿命を悟り、私に引き継いで欲しいと、ある人物(故人)を経由して依頼を受け、これが
きっかけとなり、今のシステムを構築した次第です。 完成して約7年になります。
以上の如く 物故者お二人の、ご意志を受け継ぎ、小生の解釈を加えたシステムです。当初スピーカー
付属のネットワークで聞いておりましたが、年代物で音質的にも分解能に乏しく、マルチチャンネル駆動化
した次第です。クロスオーバー周波数の仕様は1.6kですが、聴感を頼りに、1.5kHzに設定しました。
ネットワーク部の周波数特性と回路は、過去の経験から種々ノウハウを入れて設計しました。
Tweeter部は、有名なコンプレッションドライバー+マルチセルラホーン構成ですが、トランス結合の
インピーダンス整合器では、今様の音質表現は不十分で、これをチャンネルデバイダーで帯域分離する
と共に、Tweeter部の音圧調整(Gain操作はA級AMP内部)を行っております。
給電方法は、Woofer-AMPのみ100V商用電源(屋内配線は専用回線敷設)、他の全ての機器は200V
から絶縁シールドトランス(病院仕様品)で100V化した後、自作の配線Boxから給電しております。
200V系は家庭内用とは別口で、電力メーター根本から分技して分電盤を設け、壁コンセントは200Vで
給電しています。 GND系は分電盤Boxを含めA種接地し、壁に専用のGND端子を装備しました。
(接地方式・・φ15mm長さ1.5mの銅棒を地面に叩き込む接地方法) (給電詳細は、後日紹介予定) Audio機材はY社GTラック上に乗せ、SP含む機材の床は、住宅建築時に布基礎で床構造を強化。
(機械的GND強化策) 音質は、音工房Z様にもヒアリング頂きました。 以上です。
技術進歩に関して小生が関係しました、信号の磁気記録再生分野の一部をご紹介します。
既に、前回歪率に関するDataを提示させて頂きましたが、今回ご覧頂くDataは周波数方向の
ダイナミックレンジに関する情報です。 下記にアナログ式磁気記録再生装置の、生Dataを示します。
この分野は、信号のデジタル化で驚異的な進歩を遂げました。

解説
アナログ式磁気記録再生では、緑で塗りつぶした範囲の、ダイナミックレンジが激しく失われます。
つまり記録レベルが上がる程、高い周波数領域では減衰が激しく、記録レベルが下がるに比例して高域
における、レベル低下が少なくなる事が分かります。これは磁気記録に独特の自己減磁作用と呼ばれる
現象です。記録スピードが上がれば上がる程、この現象が低下し、2トラック38cmの0VUで記録した
場合、概ね上記の-20dBで記録した特性相当のカーブになります。
しかし、更に記録レベルが上がれば同様に、高域に於けるダイナミックレンジの劣化が必ず起きます。
上記の0VUとは、飽和から-13dB(200pWb/mm2)の信号レベルです。
即ち高域の大振幅信号は、記録出来なかった次第です。 しかし音響エネルギーは【1/周波数】と言う
特性に助けられ、何とか実用的な範囲で使えた。 これがアナログ時代の実力でした。
低域は、記録スピードが上がるに従い、逆に下記理由で記録特性が悪くなります。
上記の100Hz以下の揺らぎは、磁気記録独特の特性カーブでコンターエフェクトと申します。(詳細省略)
この特性がある故に、ローエンドの記録は、記録スピードが上がるに従い、暴れ方が激しくなり且つ
ローエンドの振幅特性が悪くなる傾向を示します。
一方デジタル時代のPCM記録再生では、直流からサンプリング周波数の概ね1/2の周波数帯域まで、
どの記録レベルで記録しても、劣化なくフラットな記録再生が可能です。
昔のDATは、記録用サンプリング周波数は48kHzで、記録再生帯域はDC~22kHzでした。
現代のハイレゾと呼ばれる192kfsの、サンプリングレートを使ったレコーダーは、DC~96kHzまで記録可能です。 振幅方向はMSBレベル領域まで、伝送帯域内はフラットに記録再生出来ます。
しかし、192kfsでは帯域が広くなった分だけS/Nが劣化します。

上記の通り、アナログ式記録再生システムに比べ、ハイエンドとローエンドの周波数帯域に於ける、ダイナ
ミックレンジは、20kHzで50dB以上、10Hzで概ね30dB以上改善しております。
歪の値は、記録再生モードで、最良値1%程度が、0.003%程度(16Bit処理)まで改善しております。
筆者は、アナログ技術からデジタル信号処理技術の世代に、移行した者です。
さような次第で、A/Dコンバータ―用ICが無い時代、ディスクリートのバラックでA/Dコンバータ―を
自作し、デジタル記録&再生にトライした世代です。(回顧録で失礼) この世代はリストラの嵐に出合い、アナログとデジタルの両方を理解する技術屋層が、我が国は極端に少ないのが当業界の特徴です。
アナログ技術が正しくハンドル出来ない者に、デジタル機器を設計させると、残念ながらデジタル臭い音しか出せないのが、現実です。(CDプレーヤーが開発された当初のような現象に似ている)
現在パソコン経由のハイレゾ系ミュージックソースが出回り始めましたが、これもデジタル屋がアナログ系
の設計スキルを上げないと、よりグレードの高い次元での、音楽再生は不可能だと、強く感じております。
筆者も可能な範囲でハイレゾ系の再生に取り組んでみましたが、一部市場に光明は見えるものの、現時点ではNG判定でした。 個人的にはハイレゾ系の実力を真に発揮できてないと感じた次第です。
近年圧縮技術が発展し、圧縮後完全に元に戻る?可逆圧縮信号方式の音を聞きましたが、個人的には
これもNG判定でした。 やはり非圧縮信号のCD再生には勝てない・・
PCを絡ますと無理である・・が筆者の個人的な体験です。 通信処理・各種Decode処理等、演算要素の
増加は信号劣化に繋がる。 デジタル小信号分野に関し解説を試みる予定です。(退職契約の範囲内)
この分野でも、技術者を大切にするヨーロッパ系音響機器メーカに、音質面で負けております。
つまりアナログとデジタルの融合を図る上で、壺を押さえた設計が出来ている。
若い世代も頑張っておりますが、リスクをまったく取らない経営屋もどきが癌で、イノベーションを起こしたく
ても、出来ないと言う深刻な問題があります。(貧すれば鈍するの感あり。無策では発電源が枯渇する)
悲しいかな・・これが、我が国の姿なのです。(後輩技術屋諸氏・・もし読んでいるなら頑張って下さい!)
ハイレゾ+真の24bit化は、気絶する程技術ハードルが高いのですが、今後の発展に期待しましょう。
§7.電力量とはなに?
長らくお待たせしましたが、ここからはAMPの駆動力と、スピーカーの関係を本格的に考えましょう。
電力とは一体何?・・から始めて、スピーカーを駆動する能力の本質問題に迫って行きましょう。
一般家庭で使う電力は計測され、使った量に応じて料金を支払っています。
では電力量とはいったい何者でしょう?
家庭での電圧は交流の100Vですが、ここでは分かりやすい直流でこれを解説しましょう。
下図をご覧ください。 電力量はプールの水量と同じイメージとして立方体で説明出来ます。

このように電圧×電流×時間=電力量になります。(立方体の体積に相当)
電力を表現する単位は、ワット(W)を使いますが、時間軸を入れてワットアワー(Wh)で
通常一時間当たりに使った分量で表現します。電気を使った時間だけ計測カウンターの数値が
積算(積算電力)され上昇します。
7-1.オームの法則
電気理論の根本法則であるオームの法則から始めましょう。
直流の場合は・・
電流をI(アンペア) 電圧をV(ボルト) 電力をP(ワット) 負荷抵抗をR(オーム)とすれば
図7-1から、負荷抵抗をRとして、電力を電流式と電圧式で各々表現出来ます。
電圧で表現すれば
P=I×V=(V/R)×V= V2/R ・・・電力の電圧式
同じく電流で表現すれば
P=I×V=I×(I×R)= I2×R ・・・電力の電流式 ・・と計算出来ます。
7-2.交流の場合の電力は?
交流エネルギーは、直流と違って、電圧と電流が時間軸上で変化します。
家庭では1秒間に50回又は60回増減を繰り返します。この変化する周期をHz(ヘルツ)で
表します。電圧は100Vですが、負荷抵抗に応じた電流量は電圧変化に応じて、上記オームの
法則に従って変化します。
図7―1に示す直流での立方体と同じ表現を、交流でするには、一工夫が必要となります。
交流は時々刻々と、その値が変化します。
交流電力量(P)は、同じく電圧×電流×時間で求める事が出来ますが、直流と同じ手法で計算
するには、この時々刻々と変化分する分量を、直流と同じ値に読み直す必要があります。
■交流の実効値について
この交流を直流と同じ値に変換する手法として実効値と言う考え方を採ります。
そこで交流を分かりやすく分解してみましょう。サイン波と言う言葉が頻繁に出て来ます。
これは一体何? でしょう。 よく教科書では下図が出て来ます。 交流アナログ信号を理解する上で
避けて通れない課題です。 ご存じなら飛ばして下さい。

図7-2は、時間Tの変化の上で、ベクトル量の変化を示します。
(赤線と青破線の、振幅方向のエネルギー位置を、時間軸方向で表せば右側の位置になります。
半周期を半波と呼びます。(0から180度の範囲) そして1回転する時間を1Hzとします。
ですから、1秒間に50回 回転すれば50Hzとなります。 ωとは角速度と言う意味です。
つまり回転スピードに相当します。数式で表せばω=2πf となります。
fとは回転数=周波数となります。 2πは1回転分ですので、50Hzのω数は 2π×50=314.159・・
となります。例えば50Hzは、時間に直せば・・
1秒当たり50回 回転しますので、1÷50=0.02秒 (20mSec) と言う事になります。
交流抵抗インピーダンスの計算式に、この角速度であるω項が登場します。
つまり、周波数に比例して交流抵抗値が変わりますので、ω項は常に付きまといます。
図7-2の円の直径は、電圧又は電流の分量に相当します。
そして時間軸上の回転角度を位相と申します。
家庭では100Vの振幅を考えますが、サイン波形の+側の最大値と-側の最大値を、交流に於
けるピークエネルギーとして**V(p-p)と表現します。
一方直流と同じエネルギー分量を与える電圧は、実効値として**V(rms・Root mean square)
として表現します。
このように変化する電圧又は電流量を、直流と同じように扱うには、どのように考えれば良いの
でしょうか? 交流の場合は、図7―2に示した通り交流の1回転周期での平均エネルギー量
(電力量)が、直流電力と等しくなる分量で表します。 つまり・・
直流と同じ電力量を与えるには、交流を実効値で表せば、まったく同じようにオームの法則で
計算する事が可能になります。
この実効値を使った電力式を数学的に表せば・・
Imとは電流の最大値と言う意味です。この式は別に分からなくても問題ありません。
これを解くと・・
最大値と実効値の間には、下式が成立します。
つまり・・これだけです!。
これを電力式に当て嵌めてみましょう。
オームの法則より・・電圧式で表せば
P=V2/R を書き直すと
この式を解くと
と求まります。7-1式
まったく同様に電流式で表せば
P=I2R を書き直すと・・
同様に
と求まります。7-2式
故に・・電力Pが予め分かっている場合のVm (Im) の値を求める式が求まります。
上式を変形して・・
Vm2=2×P×R より 7-3式
同様に電流は・・
【Im】2×R=2×P より 7-4式
・・と求める事が出来ます。 概ね交流の電力計算式の概算はこれで十分です。
少し演算してみましょう。
300W-AMPで、負荷抵抗が4Ωの場合 VmとImの値を求めなさい。
7-3.A級AMPの電力計算式
7-2)項で求めた電力計算式が成立するには、ある一定の条件が存在します。
A級電力増幅器と、乾電池で動くパワーAMPにはこの計算式が適用出来ません。
簡単にそのカラクリをご紹介します。

半導体プッシュプル方式(PP)では、右側の波形のように給電装置に±電源を装備してパワーAMPを
構成します。 片側電源では左側のように+電源のみ装備します。
つまり印加する電圧の半分を中心に最大+VmからGNDの間で信号が動作する事になります。
A級AMPでは、片側の電圧の中で波形が成立し、スピーカー内部では合成しません。
その分信号は正確に増幅出来ますが、扱える電力は電圧が半分ですので右の±電源駆動と比較して
1/4に低下します。
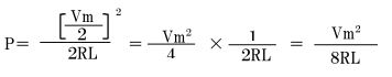
図7-3のA級AMPは、Vmの半分を中心に信号はスイングしますので、電圧利用効率はVm/2となり
ます。 一般式P=Vm2/2RLを変形すれば、片電源の場合の電力式が求まります。
・・・7-5式 と求まります。
電圧利用率がB級の1/2の意味は、電圧は2乗で効いて来ますので、A級AMPは、電力で1/4しか
取れません。 これがA級シングルAMPの電力が小さい理由です。
片電源駆動の乾電池式パワーAMPでも、BTL接続方式なら7-2)項の演算式が成立します。
同様に+電源とGND間でスイングする片側電源ドライブPP回路も同様に7-2式が適用出来ます。
§8. パワーAMPの電力駆動段
8-1.真空管式A級増幅器
真空管式 片側電源駆動のA級動作の概念図です。 (趣味の世界優先で半導体は省略します。)
真空管は筆者も素人ですが、その心算でご覧下さい。

上図の如く、A級AMPは出力トランスの中とか、スピーカーの中で信号を合成する事が無いので、
リニアリティーは優れており、これがA級AMPの音質の良さに繋がっています。(300Bが有名球)
出力トランスの役割は、スピーカーの低インピーダンスへエネルギーを供給する為に、インピーダンス
整合の目的で挿入されます。
例えばトランスの二次側が8Ωの負荷が接続された時、トランスの一次側のインピーダンスは3kΩ等の値
を持ちます。(真空管によって一次側のインピーダンスの大きさには最適値があります)
●インピーダンス整合の基礎●
図8-1の真空管出力側のインピーダンスが3kΩで、スピーカー側のインピーダンスが8Ωの場合、これ
をダイレクトに結合すると、大きな伝送損失が発生して、実用になりません。
そこで出力トランスを介してインピーダンス整合を取ります。
インピーダンス整合を取る意味
送り出し側電力が一定とした時、その出力側インピーダンスと電力を受け取る側のインピーダンスが等し
い時に、受け取り側の電力が最大になると言う、伝送回路の性質を持ちます。
この場合は、出力側が3kΩで受け取り側が8Ωと言う大きな落差がありますので、このインピーダンス落差を埋める事が必要となります。この落差を埋める事を、整合を取ると申します。
●トランスを使ったインピーダンス整合●
トランスの一次側(真空管側)と二次側(スピーカー側)の巻き数比をnとします。
二次側に接続された抵抗をRLとすると、トランスの一次側から二次側を見た抵抗は、1/n2に見えるようになります。 理由は、トランス内部での伝送電圧は巻き数比に比例しますので、電圧は1/nに低下し、逆に電流はn倍になる動きをします。
つまり一次側から見た負荷抵抗は、オームの法則よりRL=V/Iより RL=(1/n)/nとなり、これを変換するとR=1/n2と表す事が出来ます。
つまり真空管側の、抵抗3kΩと負荷側8Ωの比に等しくなるように、変圧比n2の値を設計すれば良い事になります。 よって、3k/8=375 375=1/n2 より n=0.0516となります。
巻き数比は 1: 0.0516ですから、一次側が100ターンなら、二次側は5.16ターン巻けば良い。
3kと負荷が16Ωなら、同様に1/n2=187.5 n=0.073 で二次側は7.3ターン巻く事になります。
同様に4Ω負荷なら、n=0.0365 となり3.65ターン巻く事になります。
出力トランスの一次側の巻き数は、専門的にはコアボリュームの窓面積で巻ける回数が決まります。
つまりコアーサイズが大きい程、巻く回数の増量が可能。
従って一定以上巻ける、3次元空間が必要になります。この空間を窓面積と申します。
ここで厄介な事は、銅線を巻く回数を増やすと電流が流れた時の損失が増えます。 そこで取られる手法
は、銅線の線径を太くする訳です。 逆に太くすると今度は一次側に巻ける回数が減る・・・
これはイタチごっこです。
真空管から取り出せる電力量に応じた巻線直径があり、これに相応しいトランスのコアーサイズが選択される。 巻き数比が与えられておりますので、そのコアーサイズに相応しい一次側の巻線回数が決まる・・
と言う手順で設計パラメーターが決まります。
少し専門的になりますが・・・
トランスの一次側に流す直流電流を増やすと、トランスの設計パラメーターである相互インダクタンス
(一次側と二次側の結合力)が低下します。 この意味は低音再生領域で伝送損失が増加します。
これを防止するには、トランスのコアー断面積を上げて、相互インダクタンスの低下を最小限に抑える
設計が必要となります。つまり真空管のプレート損失を上げて無理やり電流を流し、強引に電力を引き出そうと、すればする程 低音側の伝送損失が増加する運命になります。 この電流量を予め見込んでトランスは設計されます。上記トランスのスペックには、挿入損失と言う項があります。
この値が例えば0.5dB以下とあれば、優れた伝達特性であると理解出来ます。
一次側に流す直流電流容量には設計仕様があり、カタログ値で示された値が掲載されております。
更に、電圧が高く絶縁仕様がシビアとなり、この分を見たトランスのコアー ボリュームが選択されます。
基本的には出力真空管の出力スペックに合わせて、出力トランスの仕様は決まります。
下記参照 これは挿入損失が少ない例です。(100mA・25H 線径Up一次側巻線抵抗を1/5に低減)
http://www.e-kasuga.net/goods.asp?id=587 (価格が高騰しましたね~・・。)
出力真空管に与えられたプレート損失は、最適値が存在します。
http://www.mif.pg.gda.pl/homepages/frank/sheets/084/3/300B.pdf ・・・ 300B仕様書
既にお分かりの通り、取り出す電力を欲張ると、全ての物理特性は劣化すると理解して下さい。
更にプレート損失を限界まで上げると、寿命が短くなります。(真空度が劣化する)
真空管のプレートにかける電圧を求めてみましょう。(無信号時) 出力を8Wとすれば・・7-5式より
Vm=√8×P×RL=√8×8×3k=438Vpp 実効値は√2で除して 309.71Vと求まります。
300Bは出力管のプレート電流は62mA程度が適正電流となるように設計されております。
ヒーター側の対GND抵抗には、この電流が流れた分の電圧が発生します。1kΩなら62Vとなります。
この方式をセルフバイアス回路と申します。(真空管の経年変化に強い回路方式)
GND抵抗は3.84Wで動作しますが、許容電力は放熱性に優れた10Wメタルクラッド抵抗が推奨です。
通常は350V程度のプレート電圧で運用される例が多い様ですが、拙宅のAMPは320Vとし、300Bの
定格プレート損失36Wの処、16Wで運用しております。 出力トランスにもよりますが、音質を磨くなら出力は欲張らない方がお勧めです。 つまりプレート損失を下げて運用すれば、寿命も音質も良い方向に作用する様です。 プレート損失=(320-62)V×0.062A=約16W (定格の44%)
あらゆる部品は、部品として機能する為の定格容量値が存在します。抵抗も真空管もまったく同じです。
この定格容量とは、使用する温度条件下で動作を保証する限界値であると思えば良いでしょう。
定格プレート損失が36Wと言う事は、その値まで動作は保証しますよ。 しかし寿命は別ですよ・・と捕えて下さい。 寿命と言う視点からは、既にご紹介しましたアレニウスの法則があります。
つまり、その部品から発生する温度が10℃低下すれば寿命は2倍になる理屈です。
筆者の知見では、部品の持つ定格容量ワット数に対し、最悪の動作条件下で動作させた場合でも、
定格値の7割を超えない範囲で設計すれば、長寿命化が可能との見解を持ちます。
特に真空管の場合は、発熱部品ですので注意が必要です。
寿命の観点では、真空度を保つ為にゲッターを装備しておりますが、これにも限界がある訳です。
此処で言う最悪条件とは、商用電源の電圧が+10%Upした事を想定します。国内は±5%が実力・・・
こんな良品質の電源は世界中で日本だけです。
電力の自然エネルギー発電の方針で、商用電源電圧は売電時107Vに変化しております。
それを加味すると、商用電源が定格の100Vならプレート損失は定格の50%以下で設計するのが、製品ベースで考えると優れた設計となります。 当然出力トランスにも良い影響を与えます。
趣味の世界では容量限界ギリギリまで使い、寿命を短くするのは自由ですが、製品設計の世界ではその考え方は通用しません。
その視点では62mA動作ならプレート電圧は380V程度が運用限度だと考えます。
380×1.07=406.6V Ip=0.062×1.07=0.06634 損失=(406.6-66.34)×0.06634=約22.57W定格の64%
特に出力用3極管は高価になりました・・可能な限り機能を長く使う場合は、この考え方をご参考になされて、使用条件を設定して下さい。(KR300BXLSは/350Vの65mAを推奨)
ヒーターの両側に抵抗を挿入するのはハムバランサーです。(通常可変抵抗を使う)
更にGND側に挿入した電界コンデンサに並列に0.1~1.0μFを挿入し、高域の増幅特性を改善します。
(部品性能で解説予定) 拙宅のAMPは前段駆動が6SN7GTで、特にカソードの絶縁特性の良い球を選別し、残留雑音の低減に努めております。終段のみヒーターはDC点火です。
電源回路の整流管で大きく音質が変わりますね!。(つまり給電源インピーダンスの値で左右される)
最適値があるようですが・・まだ見切れておりません。 何方かご教授の程。。
図8-1より、A級増幅は電圧利用率が悪く小出力ですが、出力側のAudio信号波形を合成するプロセスが無く、素直に入力信号をそのまま電力に変換しますので、物理的には理想的な増幅動作となります。従って、中高音以上の領域では音質的には、最も優れた増幅方式であり、これ以上の手法は存在しない
と言って良いでしょう。 電力段の他に、例えば半導体回路設計でも音質重視で、小電力を扱う信号処理回路(IC化)にも多用されます。 (繊細で優雅な音質は、半導体でも同じ傾向です)
出力トランスの音質ですが、5kHz以上の帯域に於ける、高次高調波成分はトランス内部で減衰し、高音質化に寄与していると、推定しております。俗な言葉を使えば、雑味成分が伝送されない・・と表現可能?
出力トランスのみ交換し音質比較した結果、無視できない音質差が有ると報告されております。
当然真空管の音質と信号伝送方式そのものが、基礎音質の大半を決定付けております。
A級増幅器は、音響変換効率の高いTweeter駆動に使う事が、最も有効的な使用方法だと感じます。
S
8-2.B級プッシュプル型AMP

B級AMP方式はA級AMPのパワー不足を改善する目的で考案されました。
プッシュプル駆動のAMPでは+側と-側を別々に増幅して、信号を出力トランスの中で合成します。
出力真空管にビーム管を想定した接続例を示します。(有名な球にKT-88があります)
GNDと電源電圧Vmの間をフルスイングしますので、電力=+Vm2/2RL となります。
B級プッシュプル型の場合は増幅特性が+側と-側で等しい必要があり、部品レベルではマッチドペアーとして販売されております。(超厳密には揃えるのが難しく、経年変化を考えると不利になります)
更に信号を出力トランスの中で+側と-側を合成しますので、信号極性間の巻線回数が厳密に一致
する必要があり、バイファイラ巻と呼ばれるバランスが取れる巻き方をします。
更にシャーシへの実装時には、厳密な意味でプレート電極の配線長も等しく管理する必要があります。
A級もB級も出力トランスの一次側に直流を流しますので、出力トランス内でインダクタンスが低下し、低音の駆動力劣化の要因となります。
出力パワーも大きい分、出力トランスのコアーサイズも大きくする必要があります。
信号を+側と-側を独立して増幅し、出力トランス内部で合成しますので、その合成に伴う厳密な意味での リニアリティーの確保が難しく、音質的にはA級増幅に一歩譲次第です。
+側と-側の信号を出力トランス内で合成しますが、二つの信号を合成する時、信号の繋ぎ目で直線性
が悪いと、クロスオーバー歪が生じます。
この歪を消すには、出力真空管の動作バイアス電圧を調整して(第一グリッドの負電圧を調整)信号の
リニアリティーを確保する設計を行います。 この処理を施す方式をAB1級と申します。
このバイアス電圧量は、真空管の基礎特性に合わせ選択します。(半導体式も同じ処理を行う)
真空管は経年劣化と言う点では半導体に比べて弱く、+側と-側で電流量が変わる場合があります。
この電流量をモニタ-する電流計を装備したAMPも市販されております。
電流が設計値から外れる場合は、定期的にこの値を修正する必要があります。
回路設計的には、カソード側に挿入した抵抗の値でこの安定度が変化し、大きい値程安定しますが電圧損失となりますので、出力パワーとのバーターで選定されております。(A級AMPも安定度確保で挿入)
音質的には、図8-2に示したビーム管がお勧めです。
拙宅のAMPは、KT-88と負荷抵抗5kΩ 電流は50mAで運用しており、プレート電圧は410Vで
入力回路側を、固定バイアス方式で使っております。(定期的にバイアス量調整)
KT-88仕様書・・http://frank.pocnet.net/sheets/084/k/KT88.pdf (定格プレート損失35W)
拙宅はモノーラルAMP構成です。・・(電源を共有するステレオ構成時の、混変調排除が目的)
出力電力を計算してみると・・410V×√2=579.82V P=579.822/2×5k=33.61W と出力トランスの電力容量50Wに対してデチューンして使っております。 プレート損失=410V×0.05A=約20.5W
これも商用電源が107Vの時を想定して、演算すると・・
410×1.07=438.7V P=438.7×0.0535= 23.47W・・・定格の67%
この方式は、真空管の悩みであるハム残留ノイズに対して有利と申せます。(撲滅可能)
プッシュプル用出力管はヒーターを交流点火しても、十分なS/Nが稼げます。
直熱ヒーター式 3極管のA級AMPは、ハム雑音の低減に苦労しますよね。 拙宅ではヒーターはDC
点火とし、信号増幅系のみAC点火で駆動しております。
更に、Woofer用AMPのB電源用整流回路は敢えて、半導体整流器を使っております。
給電抵抗値を低減しスピード感の有る低音を狙う。 無駄と知りながら?・・・(爆笑) そこが趣味?
低音の立ち上がりは効果が見込めますが、AMPのブレーキ性能については第一回の寄稿で解説しました。 B級AMPはエネルギーを前に押し出すパワー感があり、A級AMPでは得られない特徴です。
この特徴は、半導体式AMPにも同じ事が言え、原理的な特徴だと感じております。
更に、小信号領域を扱う回路にも同じ事が言える事が既に分かっております。(電気的に説明可能)
音質的にはビーム管独特の音質があり、我が家のスピーカーALTECにマッチする音質です。
最新の実験結果をご報告します。 現在Golden Dragonを使っておりますが、帯域バランンスが取れた
鳴り方をします。 これをJJ-electronicに交換した処、中高域の透明感は上がりますが、中低音領域が薄くなりエネルギー感が上の帯域に持ちあがる印象でした。(ALTECでの評価に限ります)
ヨーロッパ球とかアメリカ球とか製造された地域によっても、音質差があるようです。
これは計測器で計っても、物理的な差は出ないでしょう。 人間A/Dの性能に勝てない・・
B級AMPはパワーが取れるので中低域を駆動し、パワーをあまり必要としない高域側は、繊細な表現が
可能なA級増幅器を使うシステム例が多く、我が家もこの構成を採用しております。
3極管を使ったプッシュプル回路もありますが、5極管比で取り出せる電力が低下します。
高音を再生するALTECのアルミニウム素材ベースの、コンプレッションドライバー+マルチセルラホーン形式は、大変敏感でA級増幅器でないと、システム全体の音質制御が難しいようです。
拙宅ではTweeter系の音圧調整は、A級AMP内部の増幅度でチューニングしました。
既にご紹介しました通り、入力側ボリュームは存在しませんので、回路Gainを落とす処理です。
高効率スピーカーとは言え、中低位域の音圧とコンプレッションドライバーでは10dB以上の効率差が
存在します。 これをスピーカーネットワークで解決しようと試みると、音質劣化が免れません。
マルチチャンネルAMPを投入し、この音圧差を回路Gainで調整すれば、理想的なシステムが組める
理屈です。 既に解説しましたTweeterの定電流駆動はお勧め出来ません。 定電流AMPを自作されるなら中低域に対し、Unitの許容範囲内で定電流駆動を試みるのが良いと感じます。
38cmWooferドライブはB級プッシュプル駆動で、パワー感・スピード感を演出? しております。
(所詮真空管ですが) 能率が98dBありますので、反応は早いと思います。
重量感は望めないので、ここはスーパーウーファーの出番でしょうか?。
するとバランスが崩れ、蟻地獄の苦しみが?口を開けて待って おりますゾ!?・・。(爆笑)
やはりここは、足るを知る事でしょうか・・
今日も紙面が尽きました。 半導体式B級AMPとBTL接続は次回解説とします。
爺の喫茶室へのアクセス
↓↓↓
http://ziinokissa.jugem.jp/
リタイヤ爺様へのご質問、ご感想、応援メッセージは
↓↓↓